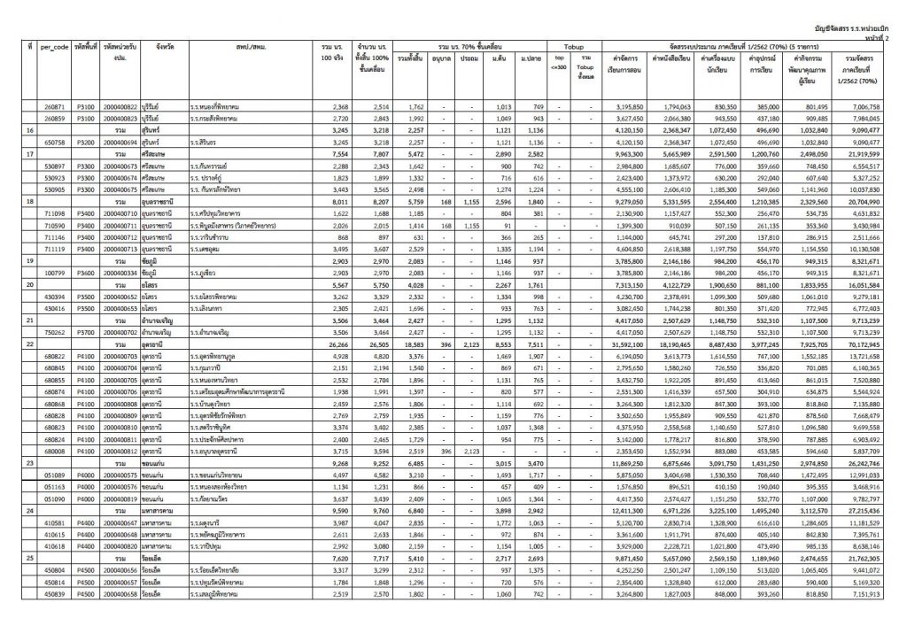
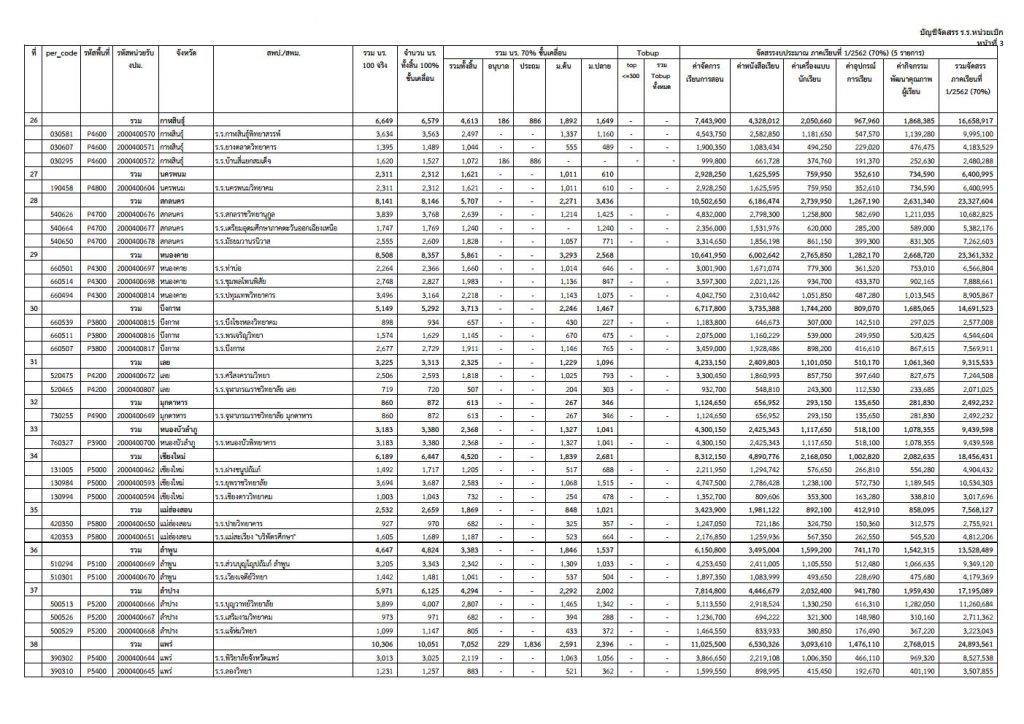
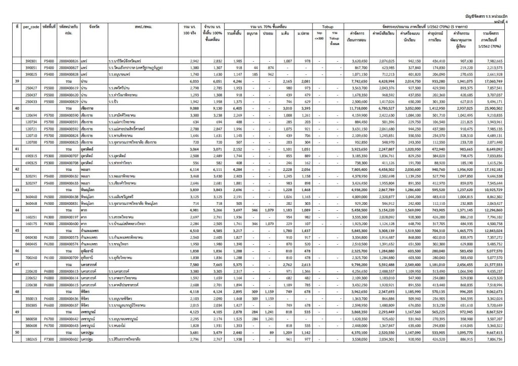
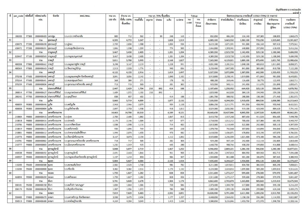
การจัดสรรงบประมาณรายจ่าย กิจกรรมการสนับสนุนค่าใช้จ่ายในการจัดการศึกษาขั้นพื้นฐาน (งบเงินอุดหนุน) ภาคเรียนที่ 1/2562 (งบหนังสือเรียน)
เมื่อวันที่ 1 มีนาคม 2562 สำนักนโยบายและแผนการศึกษาขั้นพื้นฐาน สำนักงานคณะกรรมการการศึกษาขั้นพื้นฐาน ได้เผยแพร่ข้อมูลเรื่อง การจัดสรรงบประมาณรายจ่ายประจำปีงบประมาณ พ.ศ. 2562 กิจกรรมการสนับสนุนค่าใช้จ่ายในการจัดการศึกษาขั้นพื้นฐาน (งบเงินอุดหนุน) ภาคเรียนที่ 1 ปีการศึกษา 2562 (70%) โดยมีเนื้อหารายละเอียดและไฟล์แนบดังนี้ครับ
1.) หนังสือแจ้งจัดสรร (ดาวโหลดไฟล์ คลิก)




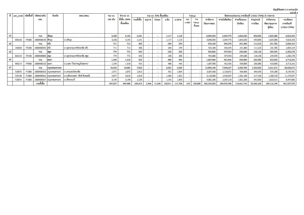
2.) บัญชีจัดสรร ร.ร.หน่วยเบิก (ดาวน์โหลดไฟล์ คลิก)






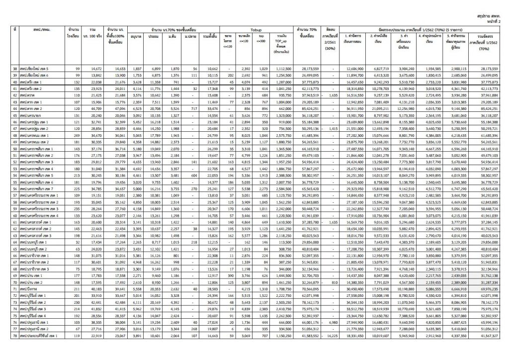
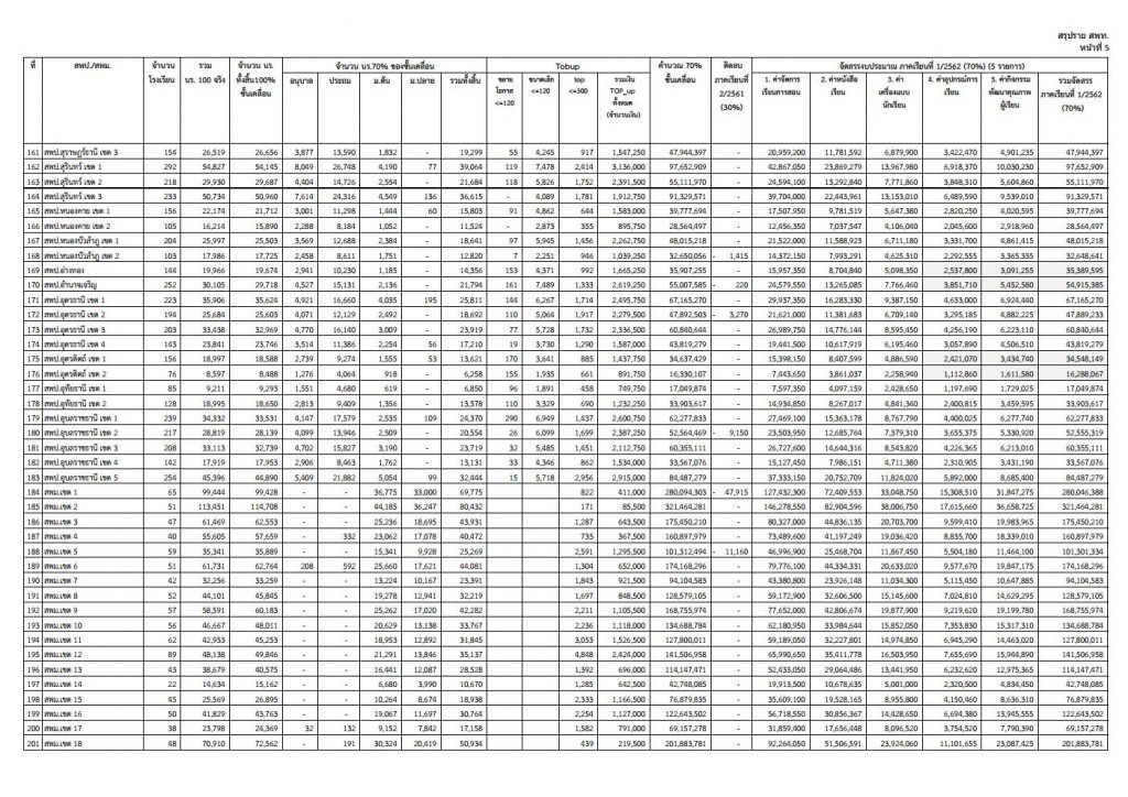
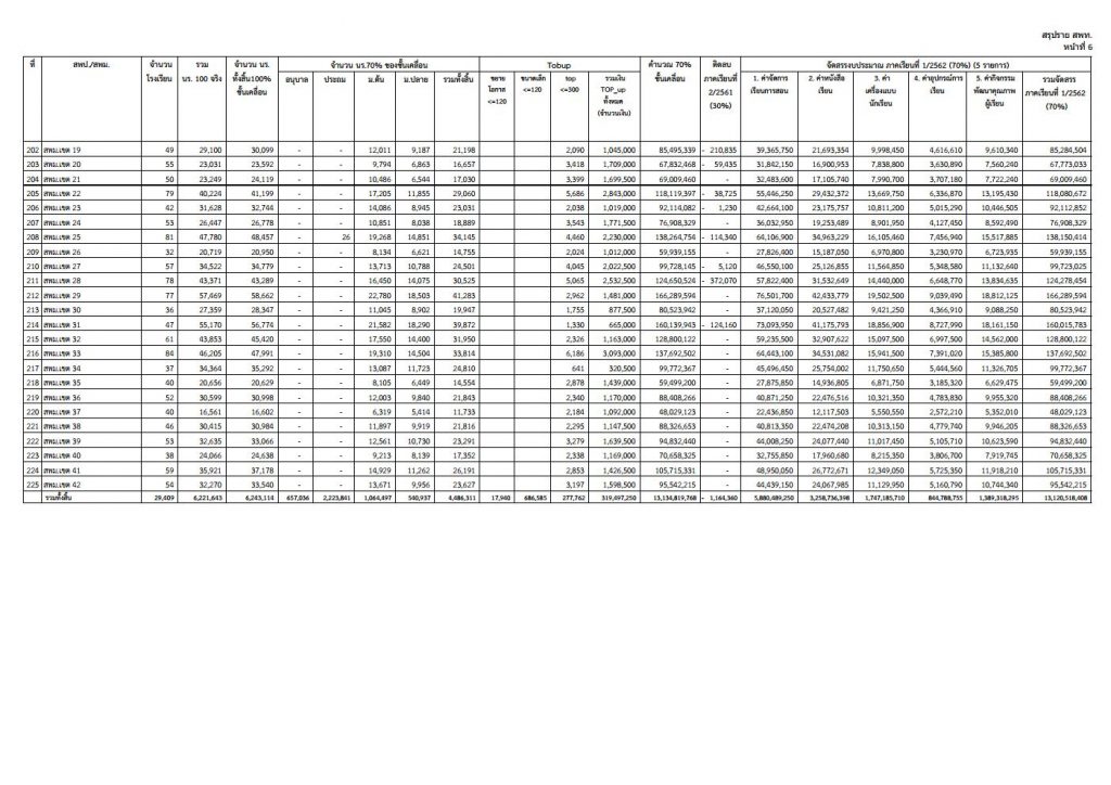
3.) สรุป สพท. (ร.ร.ปกติ) (ดาวน์โหลด คลิก)






4.) บัญชีจัดสรร ร.ร.ที่ได้รับครบ 638 หน้า (ดาวน์โหลดไฟล์ คลิก)
5.) บัญชีจัดสรร ร.ร.ที่ได้รับไม่ครบ 44 หน้า (ดาวน์โหลดไฟล์ คลิก)
6.) บัญชีจัดสรร ร.ร.ที่ได้รับจัดสรรเกิน (-) และ ร.ร. ที่ไม่มีนักเรียน 19 หน้า (ดาวน์โหลดไฟล์ คลิก)